 
			
 
 咨詢熱線
0757-82255905不銹鋼精密管縮口加工,是管坯端部通過縮口模具將其直徑縮小的成型工藝。管坯在軸向力作用進入變形區,在變形區內產生切向收縮的縮口塑性變形,然后進入穩定區,最終形成縮小的端部直徑。與縮口對應的是擴口工藝。
1、 不銹鋼精密管的縮口形式
常見的不銹鋼精密管縮口形式有:
 
 
2、 不銹鋼精密管縮口成型的特點與變形程度
縮口工藝屬于壓縮類成型工序,其變形區的應力應變特點如上圖1、2、3所示。縮口變形區受雙向壓應力的作用,變形程度受到失穩的限制。一般縮口的變形程度與材料的機械性能、厚度和模具的結構形式和材質表面質量有關。材料的塑性好、屈強比值打,允許的縮口變形程度打;材料越厚,抗失穩起皺的能力就越強,有利于縮口成形;采用內支承模具結構,口部不易起皺;合理模角、小的錐面粗糙度值和好的潤滑條件,可以降低縮口力,對縮口成形有利。當縮口變形所需壓力大于管壁材料失穩臨界壓力時,此時非變形區管壁將先失穩,也將限制一次縮口的極限變形程度。
3、 不銹鋼精密管縮口工藝計算
不銹鋼精密管縮口工藝計算包括,縮口次數及縮口系數的確定、毛坯尺寸計算、縮口力。
(1) 縮口次數及其所有系數確定
若不銹鋼精密管的縮口系數m小于允許的縮口系數時,則需進行多次縮口,縮口次數n按下式計算。
 
 
多次縮口工序中第一道次采用比平均值m小10%的縮口系數,以后各道次采用比平均值m大5%~10%的縮口系數。考慮材料的加工硬化以及道次增加可能增加的生產成本等因素,縮口次數不宜過多。
(2) 毛坯尺寸計算
毛坯尺寸的主要設計參數是縮口毛坯高度H,按照上圖1、2、3所示的不同縮口形式,根據體積不變條件,可得知如下毛坯高度計算公式:
斜口形式:
 
 
直口形式:
 
 
球面形式:
 
 
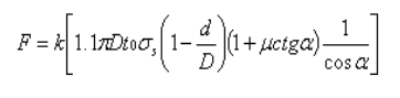
(3) 縮口力
只有外支承的縮口壓力,可按下式估算。
 
 
4、 不銹鋼精密管縮口模有哪些?
不銹鋼精密管縮口工藝中,常用的縮口模結構形式主要有以下幾種:支承成形縮口模、外支承成形縮口模、內外支承成形縮口模。為了成形一些特殊零件,還采用其他縮口方式進行縮口.如襯套縮口模、管子縮口模、局部加熱縮口模等。采用局部加熱進行縮口,可以得到很大的變形度。縮口模一般加工的零件多為旋轉體,故通常是在壓力機和液壓壓力機上進行,其生產效率較高。

縮口加工應用非常廣泛,如軍工應用、機械結構等等。對于細長管狀類工件,用縮口代替拉伸效果可能更好。以上是不銹鋼精密管縮口加工的所有信息,更多不銹鋼精密管資訊,敬請繼續關注罡正不銹鋼。
其他資料:

版權所有? 佛山市罡正管業科技有限公司 粵ICP備19066789號-1
電話:0757-82255905 手機:139-2315-7588 聯系人:陳先生
傳真: QQ:435562665 郵箱:435562665@qq.com
地址:佛山市三水區西南街道洲邊五村進港大道側和坑1號2座
 
				 
			